发布时间:2025-10-24 来源:组委会
2025 年 10 月 22 日,国家能源局正式发布 2025 年第 5 号公告。依据《中华人民共和国标准化法》与《能源标准化管理办法》,批准发布 307 项能源行业标准,既聚焦促进新技术、新产业、新业态发展,也进一步规范能源项目的规划建设与运行管理。
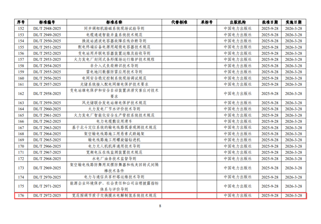
其中包含《可再生能源电力制氢工程可行性研究报告编制规程》、《宽范围调节质子交换膜水电解制氢系统技术规范》、《宽范围调节质子交换膜水电解制氢系统性能试验方法》。
《可再生能源电力制氢工程可行性研究报告编制规程》适用于以风力发电、光伏发电为主要电力来源的可再生能源水电解制氢工程可行性研究报告的编制,规定了可再生能源电力制氢工程可行性研究报告编制的原则、工作内容和深度。 标准的发布实施,可有效指导、规范风光发电、制氢和储氢一体化工程可行性研究报告的编制工作,有效提升氢电耦合项目的经济性,促进项目的实质性落地,助力我国可再生能源制氢产业高质量发展和技术进步。



END